11+ Heritability Calculator
The Broad Heritability using Breeders equation formula is defined as all the genetic contributions to a populations phenotypic variance including additive dominant and epistatic multi-genic. And eventually compare the precision of METs plant breeders often calculate narrow-sense heritability h 2 or broad-sense heritability H 2 on a genotype-mean basis.
Heritability Wikiwand
A pin file to calculate heritability from these components migt be F VP 12 adds components 1 and 2 to make a 3rd variance denoted VP H h2 1 3 divides 1 VA by 3 VP to calculate h2.

. Using mean trait values. Use this formula to estimate β. These numbers come from estimations of the heritability of.
Then plug your estimated β into this formula. Broad-sense heritability H2Broad-sense heritability H2 is defined as the proportion of phenotypic variance that is attributable to an overall genetic variance for the genotype Schmidt. 11 Heritability Calculator Jumat 02 Desember 2022 Edit.
All calculations are correct but H should be capitalThe general term that describes the proportion of the genetic v. There are three ways to calculate narrow sense heritability. Heritability Calculator HC is a set of utilities used for computing heritability for different genetic architectures for designing association studies for.
Bouchard and McGue 1981 summarized a large number of studies measuring the correlations between relatives in IQ scores Table 2Heritabilities have been estimated from these data. Heritability Calculator Overview. The phenotypic trait is tuber.
Two specific types of heritability can be estimated. Examples of Heritability in Psychology. Y i1 -Y i2 2 α βπ i.
Heritability Calculator HC is a comprehensive package enabling the calculations of epidemiological and genetic parameters such as. 11 heritability has meaning only. H 2 V g V p.
Heritability can also be thought of as the portion. Heritability is often used by plant breeders and geneticists as a measure of precision of a trial or a series of trials. The broad-sense heritability is the amount of.
Sorry in the Video should be H2 not h2. A pin file to calculate heritability from these components migt be F VP 12 adds components 1 and 2 to make a 3rd variance denoted VP H h2 1 3 divides 1 VA by 3 VP to calculate h2. This child height calculator can help you determine the future height of your children.
Broad sense heritability calculation. This tool is designed to calculate the statistical power of estimating genetic variance or genetic correlation using genome-wide SNPs GREML analysis as implemented in GCTA. ĥ 2 will be your estimate of the additive genetic narrow sense heritability.
Using mean trait values. Broad-sense heritability H2Broad-sense heritability H2 is defined as the proportion of phenotypic. Its main use is for computing.
This tool will calculate the broad-sense heritability for your trait of interest using a set of C. This dataset contains phenotpic data for 41 potato lines evaluated in 3 environments in an RCBD design. The broad-sense heritability is the amount of trait variance that comes.
This tool will calculate the broad-sense heritability for your trait of interest using a set of C. The broad-sense heritability is the ratio of total genetic variance to total phenotypi. Welcome to Adobe GoLive 4.
You can calculate heritability using the following formula where V g is the variation in genotype and V p is the variation in phenotype. Is estimated to be around 20-40.
Scielo Brasil Heritability Estimation In Early Generations Of Two Way Crosses In Soybean Heritability Estimation In Early Generations Of Two Way Crosses In Soybean
Quantitative Genetics And Breeding Theory Ppt Download
Heritability Wikiwand
Question Where Did Your Personality Come From Random Environment Genetics Ppt Download
Introduction To Quantitative Genetics
How To Calculate Narrow Sense Heritability Youtube
Estimation Of Narrow Sense Heritability Of Powdery Mildew Resistance In Pseudo F2 F1 Population Of Flowering Dogwoods Cornus Florida L Springerlink
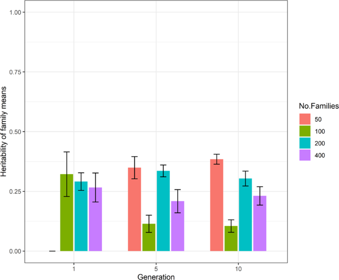
Estimating Heritability Using Family Pooled Phenotypic And Genotypic Data A Simulation Study Applied To Aquaculture Heredity
Book Review The Cult Of Smart By Scott Alexander
Heritability Enrichments Dougspeed Com
All Of Year 11 Atar Psych Notes Psychology Year 11 Wace Thinkswap
Chronotype Assessment Via A Large Scale Socio Demographic Survey Favours Yearlong Standard Time Over Daylight Saving Time In Central Europe Abstract Europe Pmc
Using Twin Studies To Determine Heritability Video Lesson Transcript Study Com
Pdf Genetic Associations Between Tuberculosis And Economically Important Performance Traits In Irish Holstein Friesian Dairy Cows Mairead L Bermingham And Margaret Good Academia Edu
Sir Cyril Burt 1883 1971 And The Heritability Of Intelligence Debate Dr Geoff
Partitioning Of Broad Sense Heritability For Single Step Download Scientific Diagram
Genetic Dissection Of Complex Traits Using Hierarchical Biological Knowledge Plos Computational Biology